✨Bài Tập Toán Học Cao Cấp - Tập 3 - Chuỗi Và Phương Trình Vi Phân














Nội dung gồm: Chương I: Tập hợp và ánh xạ. Chương II: Cấu trúc đại số - số phức - đa thức và phân thức hữu tỉ. Chương III: Ma trận - định thức - hệ phương trình tuyến tính Chương IV: Hình học giải tích Chương V: Không gian vectơ - không gian euclid Chương VI: Ánh xạ tuyến tính Chương VII: Trị riêng và vectơ riêng của toán tử tuyến tính Chương VIII: Dạng toàn phương




Tên đề tài: Sách - Combo Toán Cao Cấp Tập 1 + Bài Tập - Đại Số Và Hình Học Giải Tích Tác giả Nguyễn Đình Trí (Chủ biên)- Trần Việt Dũng- Trần Xuân Hiển-
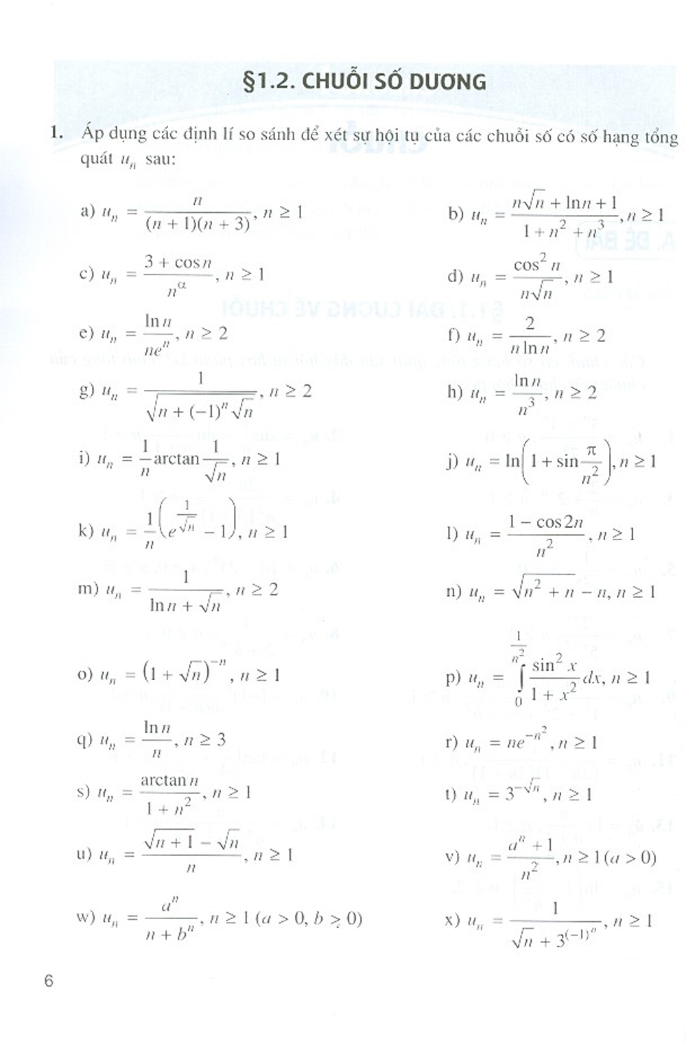
Nội dung gồm có: Chương I. Chuỗi Chương II. Phương trình vi phân Chương III. Giải bài toán Cauchy đối với phương trình vi phân tuyến tính với hệ số không đổi bằng phép biến
Sách - Combo: Toán Học Cao Cấp Và Bài Tập Toán Cao Cấp Tập 3 - Phép Tính Giải Tích Nhiều Biến Số Tác giả: Nhiều tác giả Nhà xuất bản: Nhà xuất bản Giáo
Tên sách: Bài tập Toán học cao cấp Tập hai - Giải tích Tác giả: . Nguyễn Đình Trí (Chủ biên) - . Trần Việt Dũng - . Trần Xuân Hiển - . Nguyễn Xuân
Tên sách: Toán học cao cấp Tập hai: Giải tích Tác giả: ễn Đình Trí (Chủ biên) - . Trần Việt Dũng - . Trần Xuân Hiển - . Nguyễn Xuân Thảo Số trang: 424
Tên đề tài: Lịch sử thế giới hiện đại Tác giả: Nguyễn Anh Thái (Chủ biên), Đỗ Thanh Bình, Nguyễn Quốc Hùng, Vũ Ngọc Oanh, Đặng Thanh Toán, Trần Thị Vinh Khổ sách: 16 x
Thông tin sản phẩm Tên đề tài: Lịch sử văn minh thế giới Tác giả: Nguyễn Văn Ánh Khổ sách: 16 x 24 cm Số trang: 468 trang Năm tái bản: 2022 Nhà xuất bản:
Sách - Combo: Toán Học Cao Cấp Và Bài Tập Toán Cao Cấp Tập 2 - Phép Tính Giải Tích Một Biến Số Tác giả: Nhiều tác giả Nhà xuất bản: Nhà xuất bản Giáo
Sách - Xác suất thống kê - Dành cho sinh viên các trường kỹ thuật và công nghệ Tác giả: PGS. TS. Tô Văn Ban Nhà xuất bản: Nhà Xuất Bản Giáo Dục Việt Nam
Tác giả: Hoàng Nhầm Nhà xuất bản: Nhà Xuất Bản Giáo Dục Việt Nam Ngày xuất bản: 2025 Số trang : 328 Kích thước 19 x 27 cm Loại bìa: Mềm =========================================== Nội dung :
Một nền văn học rực rỡ kéo dài gần nghìn năm – nay được hệ thống hóa và trình bày trong một công trình giáo trình bài bản, hiện đại và đầy đủ nội dung.
Tên sách: Vật lý đại cương tập 3 - Bài tập Vật lý đại cương tập 3 Tác giả: Lương Duyên Bình (Chủ biên) Khổ sách: 14.5 x 20.5 Số trang: 472 Nhà xuất bản:
Nội dung gồm có: Phần một. Cấu tạo từ Phần hai. Từ loại tiếng Việt Phần ba. Cụm từ Chương I. Khái quát về cũng từ Chương II. Cụm danh từ Chương III. Cụm động
Tác giả : Hoàng Nhâm Nhà xuất bản: Nhà Xuất Bản Giáo Dục Việt Nam Ngày xuất bản: 2025 Số trang: 292 Kích thước: 19 x 27 cm Loại bìa: Mềm =================================== Nội dung :
Tên sách: Vật lí đại cương tập 2 - Bài tập Vật lí đại cương tập 2 ( Điện dao động sóng) Tác giả: Lương Duyên Bình Khổ sách: 14.5 x 20.5 cm Số trang:
Công ty Học Liệu Sư Phạm giới thiệu: Tác giả : Nhiều tác giả Nhà xuất bản: Nhà Xuất Bản Giáo Dục Việt Nam Ngày xuất bản: 2025 Số trang: 276 Kích thước: 19 x
Combo Giáo Trình Quản Trị Học + Quản Trị Học (Bộ 2 Cuốn) Với mong muốn có được một cuốn giáo trình giảng dạy Quản trị học, nhóm tác giả đã biên soạn cuốn Giáo Trình
Giáo trình Hoá học Vô cơ này đã được viết và giảng dạy từ những năm 50 của thế kỷ trước cho sinh viên khoa Hoá học trường Đại học Tổng hợp Hà Nội trước
Thị trường chứng khoán là một bộ phận không thể thiếu trong điều kiện nền kinh tế thị trường. Từ khi thành lập đến nay, thị trường chứng khoán Việt Nam đã đạt được nhiều
Nhằm đáp ứng yêu cầu nâng cao kiến thức về hóa học hữu cơ ở bậc đại học, chúng tôi biên soạn giáo trình Hóa học Hữu cơ gồm hai tập, mỗi tập
Mô phỏng số và điều khiển các hệ cơ học được viết nhằm phục vụ trực tiếp cho học viên cao học chuyên ngành Cơ học Kỹ thuật và Cơ Điện tử. Các phần của
Chúng tôi biên soạn cuốn Giáo trình bệnh học trẻ em nhằm đáp ứng nhu cầu của sinh viên đại học ngành Giáo dục Mầm non hiện nay. Nội dung giáo trình cung cấp
Tên sách: Phong cách học tiếng việt Tác giả: Đinh Trọng Lạc (Chủ biên), Nguyễn Thái Hoà Khổ sách: 14.5 x 20.5 Số trang: 320 Năm tái bản: 2022 Đơn vị in phát hành: Công ty CP Sách Đại học -
Sách Giáo Trình Cơ Sở Mỹ Thuật Dành Cho Sinh Viên Kiến Trúc Tập 3 nhà xuất bản : xây dựng nhà phát hành : nhà xuất bản xây dựng năm xuất bản : 2021
Nội dung cuốn sách "Giáo Trình Lịch Sử Nghệ Thuật - Tập 1" bao gồm những chương mục sau đây: - Chương 1: Nghệ thuật là gì và ngôn ngữ nghệ thuật. - Chương 2:
Thông thường, giữa lý thuyết và bài tập của một môn học bao giờ cũng được gắn kết chặt chẽ với nhau. Để làm được các dạng bài tập, người học cần hiểu kỹ lý
Cấu tạo kiến trúc là môn học nghiên cứu các bộ phận tạo thành ngôi nhà từ móng đến mái, từ đó biết được vị trí, tác dụng, hình dạng, kích thước, liên kết giữa
Nội dung gồm có: 1. Chuỗi 2. Phương trình vi phân 3. Giải bài toán Cauchy đối với phương trình vi phân tuyến tính với hệ số không đổi bằng phép biến đổi Laplace
Nội dung gồm có: Chương 1: Văn học, hình thái ý thức xã hội thẩm mĩ Chương 2: Văn học với hiện thực đời sống Chương 3: Ý thức xã hội trong văn học Chương
Giới thiệu những vấn đề chung của tâm lý học quản lý. Trình bày tâm lý học trong công tác quản lý cá nhân và quản lý tập thể, đồng thời phân tích nhân cách
Nội dung gồm: Chương I: Tập hợp và ánh xạ. Chương II: Cấu trúc đại số - số phức - đa thức và phân thức hữu tỉ. Chương III: Ma trận - định thức -
Sách: Động Vật Học Không Xương Sống TÁC GIẢ: Thái Trần Bái ĐƠN VỊ PHÁT HÀNH: Công ty Cổ phần Sách Đại học - Dạy nghề NXB: NXB Giáo dục Việt Nam Cấu trúc nội
Cung cấp những kiến thức cơ bản về thực trạng, các khái niệm liên quan, hình thức, yếu tố ảnh hưởng và hậu quả của bạo lực học đường. Vận dụng một số lý thuyết,
Có những nghịch lý trong hệ thống giáo dục hiện nay buộc các nhà giáo dục học phải suy nghĩ: Trong suốt cuộc đời đi học, từ lớp vỡ lòng đến hết bậc đại học
Bộ giáo trình lý luận chính trị gồm 5 cuốn dành cho bậc đại học hệ không chuyên lý luận chính trị. Bộ sách là tài liệu giảng dạy, học tập cho giảng viên, sinh
Nội dung: Chương 1: Phổ hấp thụ hồng ngoại và phổ tán xạ Raman Chương 2: Các phép đối xứng phân tử và nhóm đối xứng Chương 3: Xác định các kiểu dao động phân
Bài tập Lí thuyết Module - NXB Đại học Sư phạm Tác giả: Dương Quốc Việt (CB) – Lê Văn Đính – Đặng Đình Hanh – Đào Ngọc Minh – Nguyễn Công Minh – Trương
Giáo Trình C++ Và Lập Trình Hướng Đối Tượng Lập trình cấu trúc là phương pháp tổ chức, phân chia chương trình thành các hàm, thủ tục. Chúng được dùng để xử lý dữ liệu
Big Data - Công Nghệ Cốt Lõi Trong Kỷ Nguyên Số Khi thuật ngữ dữ liệu lớn lần đầu xuất hiện, tác giả các cuốn sách bán chạy nhất Thomas Davenport (Competing on Analytics, Analytics
Giáo Trình Lập Kế Hoạch Kinh Doanh Giáo trình này giúp sinh viên thực hiện hóa những ý tưởng kinh doanh tạo dựng một quy trình kinh doanh nhỏ bắt đầu lên những ý
Xúc tác hóa dầu:
Từ trước đến nay, chính luận luôn là nhóm thể loại báo chí với những thể loại “đại bác”, có sức nặng, giàu tính phản biện, chiến đấu, được coi trọng trong nghề báo. Tuy
Giáo Trình C++ Và Lập Trình Hướng Đối Tượng ------------ Giáo Trình C++ Và Lập Trình Hướng Đối Tượng Lập trình cấu trúc là phương pháp tổ chức, phân chia chương trình thành các
Mô Tả Sản Phẩm Nghiệp vụ hướng dẫn du lịch hiện là một môn học được giảng dạy trong hầu hết các trường có liên quan đến ngành Du lịch, giới thiệu những kiến thức
Tác giả: Ngô Thị Thuận Năm XB: 2025 ( Sách mới tái bản) Số trang: 220 Khổ sách : 19 x 27 Nhà xuất bản: NXBGDVN Chương 1. Bài tập trắc nghiệm - Bài tập
Ngày nay, điều hoà tiện nghi không thể thiếu trong các toà nhà, khách sạn, văn phòng, nhà hàng, các dịch vụ du lịch, văn hoá, y tế, thể thao mà còn cả trong các
Tên đề tài: Sức bền vật liệu (Lý thuyết và bài tập - Dùng cho các trường ĐH kỹ thuật) Tác giả: Nhữ Phương Mai Khổ sách: 16.0 x 24.0 Năm xuất bản: 2010
Vật Liệu Kỹ Thuật - Tập 2 (Chế tạo, cấu trúc, tính chất, lựa chọn và ứng dụng) nội dung gồm 6 chương: Chương 5: Tổ chức vật liệu Chương 6: Vật liệu kim loại
Công ty phát hành: Công ty TNHH Thương mại và Dịch vụ Văn hóa Hà Nội giả: Đặng Thái Hoàng - Nguyễn Văn Đỉnh - Nguyễn Đình Thi - Vũ Thị Ngọc Anh - Đỗ
Bộ môn Lý thuyết và Lịch sử kiến trúc, Khoa Kiến trúc và Quy hoạch, trường Đại học xây dựng đã cho ra mắt bạn đọc bộ sách hai tập"Giáo trình Lịch sử kiến trúc
Kiến Trúc Nhà Ở Cuốn "Nhà ở và nhà công cộng" trước đây là phần hai của bộ sách "Nguyên lí thiết kế kiến trúc dân dụng",tiếp theo phần một là cuốn "Khái niệm kiến trúc và cơ sở sáng tác".Để nội dung sách bổ ích và hiệu quả hơn tác giả cập nhật bổ sung thêm nhiều thông tin mới, nay cuốn sách chung đó được tách thành 2 cuốn riêng: Cuốn thứ nhất: Kiến trúc nhà ở. Cuốn thứ hai: Kiến trúc nhà công cộng. Nội dung cuốn sách thứ nhất nhằm cung cấp cho sinh viên kiến trúc những kiến thức bắt đầu chuyên sâu về loại hình kiến trúc nhà ở, từ đặc điểm loại hình, lược sử quá trình phát triển, phân loạ đến các nguyên tắc và tiêu chuẩn thiết kế từng phần tạo nên các loại công trình cụ thể kèm vài ví dụ tốt để minh hoạ, cùng các triển vọng và xu hướng phát triển của chúng trong tương lai. Qua môn học, sinh viên không chỉ được mở rộng kiến thức về lí thuyết kiến trúc mà còn được thấy rõ hơn mối quan hệ giữa tiến bộ kĩ thuật và khoa học với kiến trúc và đời sống xã hội, có đủ kiến thức và phương pháp luận để thực hiện những bài tập lớn thực hành, và các đồ án môn học của năm thứ hai và thứ ba. Vì sinh viên sẽ còn được trở lại nghiên cứu sâu hơn nội dung này ở năm thứ tư và trong quá trình làm đồ án môn học, nên nhóm tác giả sẽ chỉ trình bày ở đây những kiến thức cơ sở, các nguyên lí chung và các loại nhà đơn giản, phổ cập nhất. Các vấn đề phức tạp đòi hỏi tri thức liên ngành tổng hợp và mở rộng sẽ được trình bầy trong cuốn tiếp sau, ứng với nội dung môn học tự chọn "chuyên đề nâng cao kiến trúc" phục vụ chuyên ngành sâu ở các năm cuối. Trên tinh thần giáo trình phải bảo đảm được ba tính "cơ bản, hiện đại và Việt Nam" nên nội dung cuốn sách đã cố gắng cung cấp cho sinh viên một cách hệ thống, chủ yếu không chỉ những kiến thức thành tựu chung của khoa học kĩ thuật và nghệ thuật xây dựng thế giới với tính chính xác và được cô đọng mà còn cố gắng lồng cài với chúng các kinh nghiệm và cách xử lí truyền thống đáp ứng các điều kiện và yêu cầu đặc thù Việt Nam, đế trang bị thêm cho sinh viên những kiến thức thực tiễn vốn rất cần cho nghề nghiệp kiến trúc - nghề sáng tạo nghệ thuật, tuy cần nhiều mơ ước, sự bay bổng nhưng không được viển vông xa rời thực tế đất nước, phục vụ tốt cho con người Việt Nam. Nội dung cuốn sách được trình bày với ý đồ rõ ràng cần có kèm theo nhiều hình minh hoạ vì tác giả cho rằng ngôn ngữ có sức biểu cảm mạnh và hàm súc của kiến trúc chính là ở đường nét và hình khối. Lời nói giải thích bao nhiêu cũng có thể không đủ nhưng hình ảnh minh hoạ, các ví dụ về sáng tác tốt của các kiến trúc sư lỗi lạc không chỉ cụ thể hoá những lí thuyết đã trình bày mà qua sự phân tích nghiền ngẫm từ các hình vẽ đó sinh viên sẽ còn thu nhập được nhiều điều bổ ích hơn bởi những thông tin đa nghĩa tiềm ẩn trong các hình minh hoạ vốn rất khó diễn tả đủ bằng lời. Cuốn sách phục vụ bổ ích cho không những các sinh viên kiến trúc các hệ đào tạo chính quy hay ban đêm, tại chứ, mà còn cho kiến trúc sư trẻ, các học viên cao học nghiên cứu sinh ngành kiến trúc và các bạn đọc quan tâm đến ngành xây dựng, kiến trúc nói chung.
Lịch sử hình thành và phát triển kiến trúc đã chỉ ra những yêu cầu quan trọng: đáp ứng công năng, đảm bảo kỹ thuật, hợp lý kinh tế và nhu cầu thẫm mỹ. Các
Giáo trình Giáo trình marketing du lịch Tác giả: T.S Nguyễn Thu Thuỷ (chủ biên) Nhà xuất bản NXB Đại Học Quốc Gia Hà Nội Ngày xuất bản 2024 Số trang 376 Kích thước 16
Sách - Hóa học hữu cơ tập 1 - Nguyễn Đình Thành Tác giả: Nguyễn Đình Thành Nhà xuất bản: NXB Đại Học Quốc Gia Hà Nội Đơn vị phát hành: NXB Đại Học Quốc
Sách - Hóa học hữu cơ tập 3 - Nguyễn Đình Thành Tác giả: Nguyễn Đình Thành Nhà xuất bản: NXB Đại Học Quốc Gia Hà Nội Đơn vị phát hành: NXB Đại Học Quốc
Cuốn sách Kế Toán Trong Doanh Nghiệp Kinh Doanh Dịch Vụ cho thấy dịch vụ là một ngành đặc thù cả về cách thức hoạt động dịch vụ nói riêng và trong quản lý doanh
Lí luận dạy học là lí thuyết khoa học về việc dạy và học, là một lĩnh vực trung tâm của khoa học giáo dục. Trong chương trình đào tạo giáo viên, lí luận dạy
👁️ 216 | ⌚2025-09-29 16:21:08.330
Bài tập 1-2 Chương 1 Toán cao cấp 2 EPU
Giải tích 6.4 PTVP Cấp 1: Phương trình Vi phân tách biến và 3 dạng quy về tách biến
Phương trình vi phân tuyến tính và Bernoulli
Phương trình vi phân có biến phân li và phương trình vi phân đẳng cấp
Giải tích 6.2 PTVP Cấp 1: Phương trình Vi phân Toàn phần - Phần 1
Giải tích 6.1 Nghiệm tổng quát và Tích phân tổng quát của phương trình vi phân

Bài tập 1-2 Chương 1 Toán cao cấp 2 EPU
Giải tích 6.4 PTVP Cấp 1: Phương trình Vi phân tách biến và 3 dạng quy về tách biến
Phương trình vi phân tuyến tính và Bernoulli
Phương trình vi phân có biến phân li và phương trình vi phân đẳng cấp
Giải tích 6.2 PTVP Cấp 1: Phương trình Vi phân Toàn phần - Phần 1
Giải tích 6.1 Nghiệm tổng quát và Tích phân tổng quát của phương trình vi phân

Tẩy tế bào chết da mặt cà phê Daklak Cocoon là sản phẩm với những hạt cà phê Đắk Lắk xay nhuyễn giàu cafeine hòa quyện với bơ cacao Tiền Giang giúp bạn làm sạch
Tua vít đầu sao Wiha 01286 - Hãng sản xuất: Wiha – Đức - Thương hiệu: Wiha - Xuất xứ: Đức - Model: 01286 - Bảo hành: 12 tháng
Tua vít đầu sao Wiha 01288 - Hãng sản xuất: Wiha – Đức - Thương hiệu: Wiha - Xuất xứ: Đức - Model: 01288 - Bảo hành: 12 tháng -
Thương hiệu Rạng Đông uy tín tin cậy được khẳng định bởi người tiêu dùng Việt Nam và quốc tế Shop thương hiệu Rạng Đông uy tín, tin cậy Màu ánh sáng: Trắng/ Vàng Độ
Ổ cắm đa năng cách điện bền đẹp. Chịu nhiệt, chống cháy: 750ºC Chống sét ( có dây tiếp đất) Chiều dài dây điện: 3 mét * CHI TIẾT SẢN PHẨM Chân tiếp xúc với
Trưởng Thành Sau Ngàn Lần Tranh Đấu (Tái Bản) Không chao đảo thì không phải là người lớn, phải ngàn lần tranh đấu mới có thể trưởng thành. Có đau đớn mới là tuổi trẻ?
Trịnh Kiểm (1503-1570) was born to a poor farming family in the village of Sóc Sơn, Vĩnh Ninh, Thanh Hóa (nowadays Vĩnh Lộc, Thanh Hóa Province). Despite not having a proper education, Trịnh Kiểm was
Cuốn sách này bao gồm 50 tấm bản đồ, biểu diễn các số liệu và thông tin độc đáo về hầu như mọi thứ bạn muốn biết về thế giới của chúng ta. Từ những
Tác giả : Nhiều tác giả Dịch giả : Nhiều dịch giả NXB: Minh Long book tổng hợp Khối lượng : 600 grams Bìa : bìa mềm 20 - 30 Tuổi Mười Năm Vàng Quyết Định Bạn
Khúc Hát Của Cây Khúc Hát Của Cây là tác phẩm tiếp theo nằm trong tủ sách về đề tài môi trường bên cạnh Mùa xuân vắng lặng, Đời sống bí ẩn của cây, Niên lịch miền gió
"Cuốn sách do hai tác giả Hạng Cửu Vũ và Chiêm Dạt Thiên chủ biên, mang đến một cái nhìn sâu rộng về vai trò và ảnh hưởng của ""Lễ"" trong việc tu dưỡng phẩm
Công ty phát hành: First News - Trí Việt Tác Giả: Giáo Sư John Vu Ngày phát hành: 2021 Số trang: 200 trang Kích thước: 14.5 x 20.5 cm Nhà xuất bản: NXB Tổng
Brainstorm - Khai Phá Sức Mạnh Não Bộ Tuổi thiếu niên (kéo dài từ 12 – 24 tuổi) được coi là giai đoạn thử thách nhất đối với những người trẻ đang học cách trưởng
Bản Thiết Kế Trí Tuệ Bản thiết kế Trí tuệ là một cuốn sách viết về não bộ trên cả bình diện con người và nhân tạo. Trong cuốn sách, tác giả Kurzweil đã trình bày khám phá
Manifest Năng Lượng Tích Cực Cuộc sống tốt đẹp chưa chắc đã là cuộc sống đáng sống nếu thiếu đi cảm giác trọn vẹn, sự chủ động và niềm vui từ việc khai phóng tiềm
NÀY CÔ GÁI, THỨC TỈNH ĐI! Năm xuất bản: Tái bản 2020 Tác giả: Rachel Hollis Số trang: 280 NXB: Văn hóa - Văn nghệ Mọi người, đặc biệt là phụ nữ, từ khi vừa
Công ty phát hành NXB Trẻ Tác giả: Alice Yang Ngày xuất bản 2022-03-25 00:00:00 Kích thước 15.5 x 23 cm Loại bìa Bìa mềm Số trang 352 Nhà xuất bản NXB Trẻ
Sức Bật Tinh Thần 10 THÓI QUEN CHO CUỘC SỐNG CHẤT LƯỢNG Sống vui, làm tốt: Sức mạnh của Sức bật tinh thần Hằng ngày, chúng ta phải đối mặt với những phiền toái nhỏ
TRONG KỶ NHÂN SINH, CHẲNG CÓ KẺ ĐỨNG NGOÀI THỜ Ơ QUAN SÁT. MÀ TẤT CẢ ĐỀU CÙNG THAM GIA. Kỷ nhân sinh là thời đại địa chất hiện tại, khi con người đang
Nhiếp loại học là tài liệu học tập Triết học Phật giáo. Ngoài ra còn phù hợp với những ai muốn tìm hiểu sâu thêm về Phật giáo, cần tiến sâu hơn vào nội hàm